Scottish Church College Recruitment: কলকাতার স্কটিশ চার্চ কলেজে ক্লার্ক নিয়োগ চলছে, আবেদন করতে হাতে আর মাত্র দু’দিন
Recruitment 2022: পরিস্থিতি খানিক স্বাভাবিক হতেই বিভিন্ন ক্ষেত্রে নিয়োগের বিজ্ঞপ্তি প্রকাশিত হয়েছে। এবার কলকাতার এক নামী কলেজে কর্মী নিয়োগের বিজ্ঞপ্তি প্রকাশিত হয়েছে।

কলকাতা: কর্মসংস্থান প্রত্যেক যুবক-যুবতীর স্বপ্ন। কারণ সম্মানজনক কর্মসংস্থান যেমন প্রয়োজন মেটায় ঠিক তেমনভাবে কর্মসংস্থানের ফলে জীবনে যাবতীয় প্রয়োজন মেটে। কিন্তু করোনা সংক্রমণের কারণে তৈরি হওয়া পরিস্থিতিতে কর্মসংস্থানের ভাটা চলছিল। পরিস্থিতি খানিক স্বাভাবিক হতেই বিভিন্ন ক্ষেত্রে নিয়োগের বিজ্ঞপ্তি প্রকাশিত হয়েছে। এবার কলকাতার এক নামী কলেজে কর্মী নিয়োগের বিজ্ঞপ্তি প্রকাশিত হয়েছে। কলকাতার অন্যতম এই সের কলেজে ক্লার্ক ছাড়াও একাধিক পদে কর্মী নিয়োগ করা হবে। কলেজের তরফে প্রকাশিত বিজ্ঞপ্তি থেকে জানা গিয়েছে গ্রুপ সি ক্লার্ক ও ল্যাব অ্যাটেন্ডেন্ট পদে কর্মী নিয়োগ করা হবে। বিস্তারিত জেনে নিন…
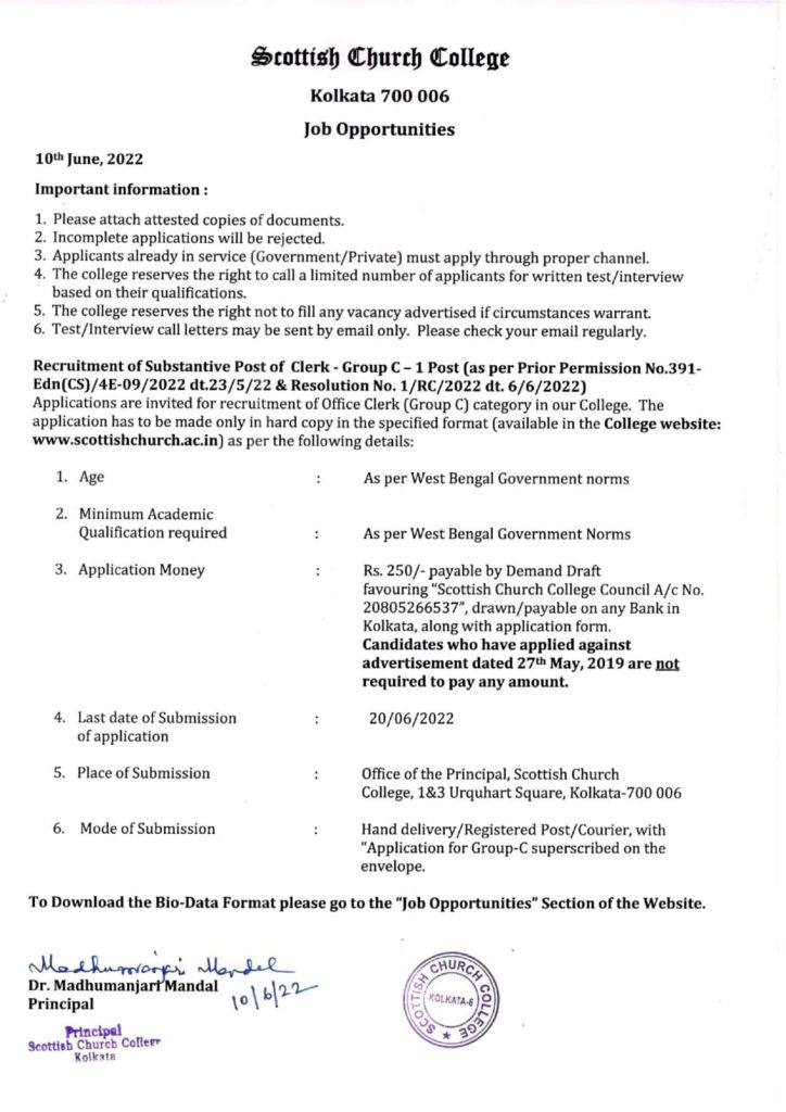
গ্রুপ-সি পদে নিয়োগ
শিক্ষাগত যোগ্যতা: এই পদে আবেদনের জন্য যে কোনও স্বীকৃত বোর্ড থেকে মাধ্যমিক পাশ করে থাকতে হবে।
বয়স: এই পদে আবেদনের জন্য আবেদনকারীর বয়স ১১/০৫/২০২২-এর হিসেবে ৪০ বছরের মধ্যে হতে হবে। সরকারি চাকরি প্রার্থীরা নিয়ম অনুযায়ী বয়সে ছাড় পাবেন।
বেতন: এই পদে কত টাকা বেতন দেওয়া হবে, তা বিজ্ঞপ্তিতে উল্লেখ করা নেই। তবে সরকারি নিয়ম অনুযায়ী নির্দিষ্ট বেতন দেওয়া হবে বলেই উল্লেখ করা হয়েছে।
শূন্যপদ: কটি পদে নিয়োগ করা হবে, তা উল্লেখ করা নেই।

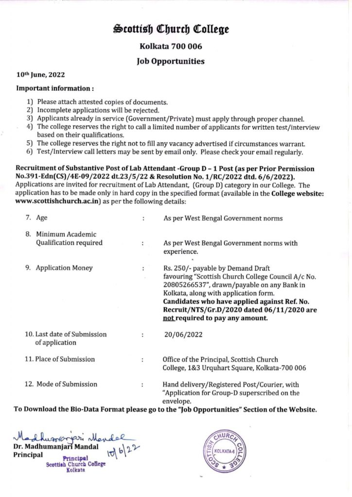
ল্যাব অ্যাটেন্ডেন্ট পদে নিয়োগ
শিক্ষাগত যোগ্যতা: এই পদে আবেদনের জন্য যে কোনও স্বীকৃত বোর্ড থেকে অষ্টম শ্রেণি পাশ করে থাকতে হবে।
বয়স: এই পদে আবেদনের জন্য আবেদনকারীর বয়স ১১/০৫/২০২২-এর হিসেবে ৪০ বছরের মধ্যে হতে হবে। সরকারি চাকরি প্রার্থীরা নিয়ম অনুযায়ী বয়সে ছাড় পাবেন।
বেতন: এই পদে কত টাকা বেতন দেওয়া হবে, তা বিজ্ঞপ্তিতে উল্লেখ করা নেই। তবে সরকারি নিয়ম অনুযায়ী নির্দিষ্ট বেতন দেওয়া হবে বলেই উল্লেখ করা হয়েছে।
শূন্যপদ: কটি পদে নিয়োগ করা হবে, তা উল্লেখ করা নেই।

আবেদন ফি
২৫০ টাকা ডিমান্ড ড্রাফটের মাধ্যমে আবেদন ফি হিসেবে জমা দিতে হবে।
আবেদন পদ্ধতি: ডিমান্ড ড্রাফট সহ স্কটিশ চার্জ কলেজের ঠিকানায় বায়োডেটা পাঠাতে হবে।
আবেদন পাঠানোর ঠিকানা: OFFICE OF THE PRINCIPAL , SCOTTISH CHURCH COLLEGE , 1& 3 URQUHART SQUARE, KOLKATA 700006
গ্রুপ-সি পদের বিজ্ঞপ্তি দেখতে এখানে ক্লিক করুন।
ল্যাব অ্যাটেন্ডেন্ট পদের বিজ্ঞপ্তি দেখতে এখানে ক্লিক করুন।
