SIR Voter List : ভোটার তালিকা থেকে নাম বাদ ৯০ লাখের বেশি, শীর্ষে মুর্শিদাবাদ, বিজ্ঞপ্তি প্রকাশ কমিশনের
Deleted Voter in SIR List : শেষ পর্যন্ত পশ্চিমবঙ্গের ভোটার তালিকা থেকে কত জনের নাম বাদ গেল? কমিশন সূত্রে খবর, প্রায় ৯০ লাখের বেশি নাম বাদ গিয়েছে। সবথেকে বেশি নাম বাদ গিয়েছে মুর্শিদাবাদে। উল্লেখ্য, মমতা বন্দ্যোপাধ্যায় আশঙ্কা প্রকাশ করে বলেছিলেন প্রায় ১ কোটি ২০ লাখের নাম বাদ যাবে। তবে, কমিশনের রিপোর্ট অনুযায়ী বাদ যাওয়া ভোটারের সংখ্যা কোটির গণ্ডি পেরোয়নি।

কলকাতা : বিবেচনাধীন ভোটারদের নিষ্পত্তি শেষ। গতকাল রাতেই শেষ সাপ্লিমেন্টারি তালিকা প্রকাশ করেছে নির্বাচন কমিশন। সোমবার রাত থেকেই ফ্রিজ় হয়ে গিয়েছে প্রথম দফা ভোটের ভোটার তালিকা। কিন্তু, সব তো হল, শেষ পর্যন্ত পশ্চিমবঙ্গের ভোটার তালিকা থেকে কত জনের নাম বাদ গেল, তা কি জানা গেল? সোমবার রাতেই একটি বিজ্ঞপ্তি প্রকাশ করেছে নির্বাচন কমিশন। বিজ্ঞপ্তি অনুযায়ী, তালিকা ফ্রিজ় হওয়া পর্যন্ত প্রায় ৯০ লাখের বেশি নাম বাদ গিয়েছে। সবথেকে বেশি নাম বাদ গিয়েছে মুর্শিদাবাদে।
এর আগে একাধিকবার মমতা বন্দ্যোপাধ্যায় আশঙ্কা প্রকাশ করে বলেছিলেন প্রায় ১ কোটি ২০ লক্ষ ভোটারের নাম বাদ যাবে। তবে, কমিশনের রিপোর্ট অনুযায়ী বাদ যাওয়া ভোটারের সংখ্যা কোটির গণ্ডি পেরোয়নি। যে ১১টি রাজ্যে এসআইআর হয়েছে, তার মধ্যে বাদ যাওয়া ভোটারের হিসেবে পশ্চিমবঙ্গ দ্বিতীয় স্থানে রয়েছে। শীর্ষে রয়েছে উত্তরপ্রদেশ। যোগীর রাজ্যে ২ কোটির বেশি ভোটারের নাম বাদ গিয়েছে।
নির্বাচন কমিশনের তরফে জেলাওয়াড়ি বিজ্ঞপ্তি প্রকাশ করা হয়েছে। চূড়ান্ত তালিকা প্রকাশের পর দেখা গিয়েছিল বিবেচনাধীন ভোটারের তালিকায় রয়েছে ৬০ লক্ষ ৬ হাজার ৬৭৫ জনের নাম। গতকাল রাতেই সব নামের নিষ্পত্তি হয়ে গিয়েছে। বিজ্ঞপ্তি প্রকাশের পর দেখা যায়, ৬০ লক্ষ বিবেচনাধীনের মধ্যে বাদ পড়েছে ২৭ লক্ষ ১৬ হাজার ৩৯৩ জনের নাম। নতুন করে ভোটার তালিকায় নাম উঠেছে ৩২ লক্ষ ৬৮ হাজার ১১৯ জনের। এর আগে চূড়ান্ত তালিকায় নাম বাদ গিয়েছিল ৬৩ লক্ষের বেশি। আর সাপ্লিমেন্টারি তালিকা প্রকাশের পর আরও ২৭ লক্ষের বেশি নাম বাদ গিয়েছে। সেক্ষেত্রে প্রায় ৯০ লক্ষের বেশি নাম বাদ গিয়েছে। তবে, সব নামের নিষ্পত্তি হলেও শুধুমাত্র ৫৯ লক্ষ ৮৪ হাজার ৫১২ জনের পরিসংখ্যানই প্রকাশ করা হয়েছে। বাকিদের ক্ষেত্রে ই-সাক্ষর করা হয়নি। সেক্ষেত্রে বাদ যাওয়া ভোটারের সংখ্যা আরও বাড়তে পারে।

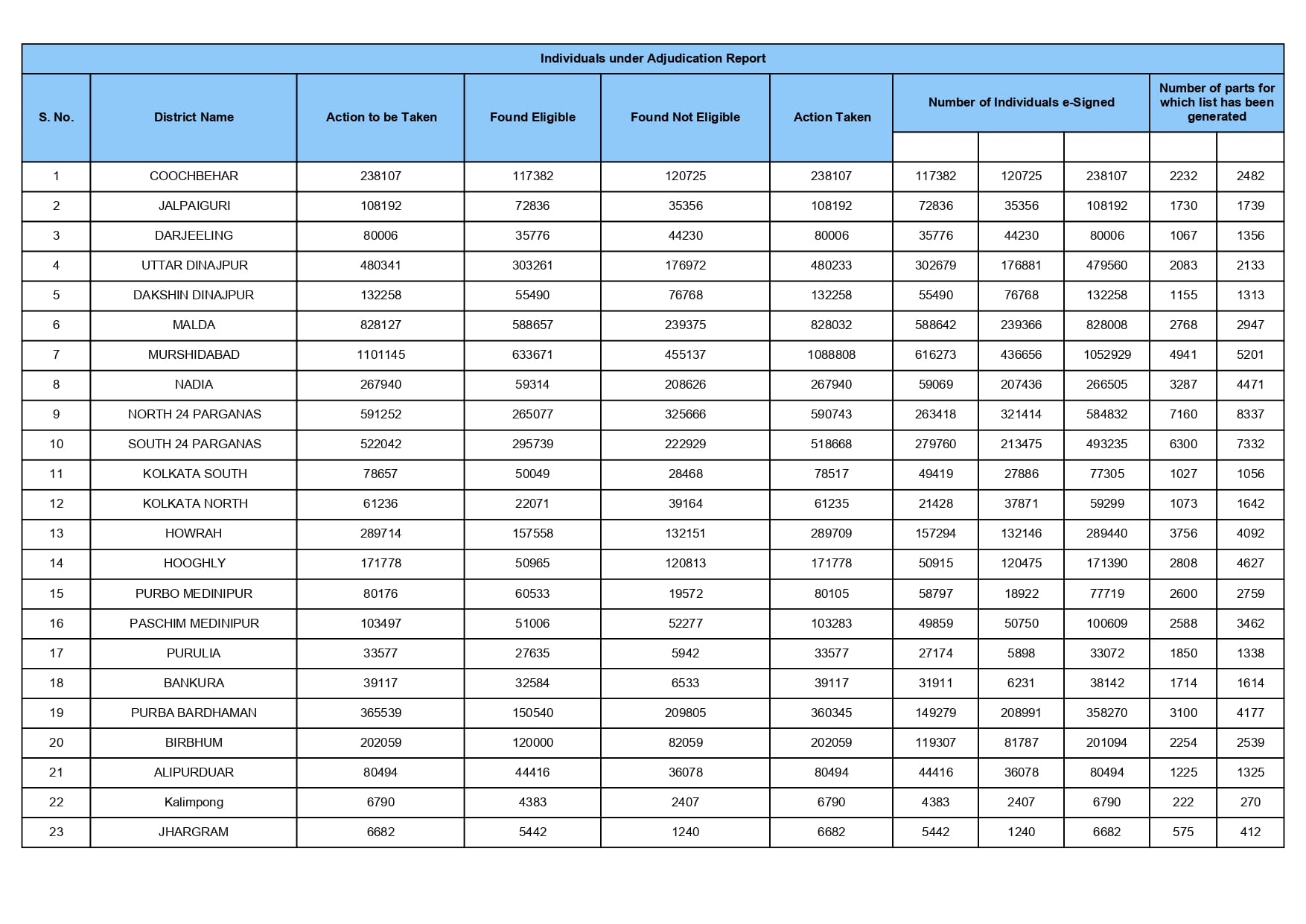
কোন জেলায় কত নাম বাদ
সবথেকে বেশি নাম বাদ গিয়েছে মুর্শিদাবাদে। সংখ্যাটা ৪ লক্ষ ৫৫ হাজার ১৩৭। তার পরেই রয়েছে উত্তর ২৪ পরগনা। এই জেলায় বাদ গিয়েছে প্রায় ৩ লক্ষ ২৫ হাজার ৬৬৬ নাম। দুই লক্ষের বেশি নাম বাদ গিয়েছে পূর্ব বর্ধমান, দক্ষিণ ২৪ পরগনা, নদিয়া ও মালদহ। এক লক্ষের বেশি নাম বাদ গিয়েছে কোচবিহার, উত্তর দিনাজপুর, হাওড়া ও হুগলি। সবথেকে কম নাম বাদ গিয়েছে ঝাড়গ্রামে। কলকাতা দক্ষিণে বাদ গিয়েছে ২৮ হাজার ৪৬৮। কলকাতা উত্তরে তুলনামূলক বেশি নাম বাদ গিয়েছে। সংখ্যাটা ৩৯ হাজার ১৬৪।

